• Предмет: Физика
  • Автор: croysantv
  • Вопрос задан 3 года назад

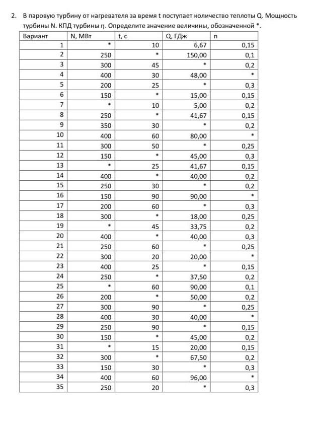
номер 27, с решением пожалуйста​

Приложения:

Ответы

Ответ дал: ZlataSergeeva2000
1

Ответ:

Q = 108 ГДж

Объяснение:

N = 300 МВт = 300·10⁶ Вт

t = 90 c

η = 0.25

Q - ?

= = = = =

Q = A пол :  η

Полезная работа

А пол = N · t

Q = N · t : η

Q = 300·10⁶ · 90 : 0.25 = 108·10⁹ (Дж) = 108 ГДж

Вас заинтересует