• Предмет: Физика
  • Автор: croysantv
  • Вопрос задан 3 года назад

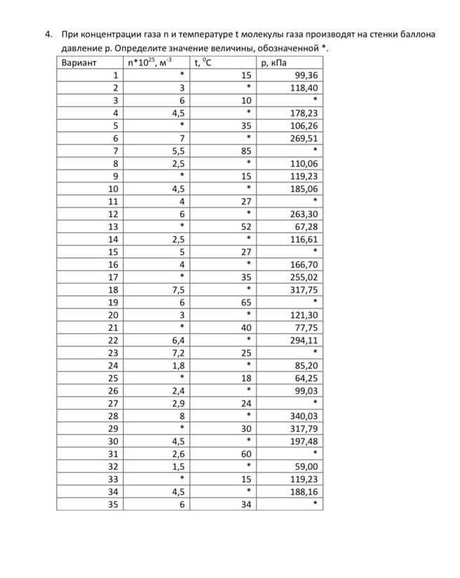
номер 27, с решением пожалуйста​​

Приложения:

Ответы

Ответ дал: ZlataSergeeva2000
0

Ответ:

р  ≈ 118,86 кПа

Объяснение:

n = 2.9·10⁻²⁵ 1/м³

t = 24°C

k = 1.38·10²³ Дж/К - постоянная Больцмана

р -? - давление

= = = = =

T = 24°C + 273°C = 297 K

p = nkT

p = 2.9·10⁻²⁵ · 1.38·10²³ · 297 = 118859,4 (Па) ≈ 118,86 кПа

Вас заинтересует