• Предмет: Математика
  • Автор: zaraara89999
  • Вопрос задан 3 года назад

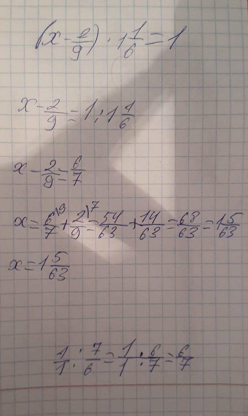
пожалуйста помогите сор​

Приложения:

Ответы

Ответ дал: sovetkhanova0853
0

Ответ:

Вотттттттттұіқіқшіақа

Приложения:

sovetkhanova0853: Там после = 1
Ответ дал: 777ybr999
1

Пошаговое объяснение:

вот вроде так

удачи там

Приложения:
Вас заинтересует