• Предмет: Алгебра
  • Автор: KTOYATAKON8
  • Вопрос задан 3 года назад

Пожалуйста решите интегралы, можно фотографией (так наверное даже лучше будет)

Приложения:

Ответы

Ответ дал: tracv9175
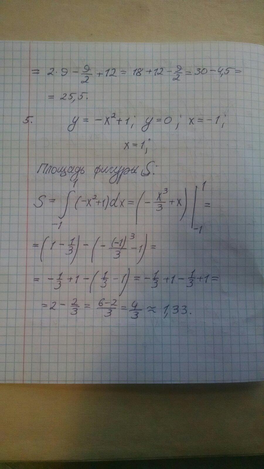
1

Ответ: 1.   x⁴-6 ×cos(x) - lnΙxΙ +C;

2.  (x³/3) -3x +2lnΙxI +C;

3.  ((7x+5)⁵)/35 +C; C-постоянная величина;

4. 25,5.

5. (4/3)= 1,33.

Объяснение:

Приложения:
Вас заинтересует