• Предмет: Математика
  • Автор: Dimassse
  • Вопрос задан 3 года назад

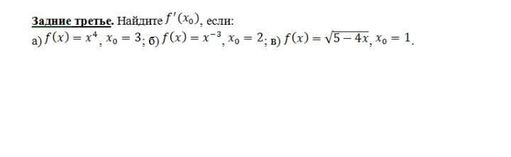
Помагите решить производные функции пожалуйста!!!

Приложения:

Dimassse: Помагите пацыки

Ответы

Ответ дал: Miroslava227
1

Ответ:

а)

f'(x) = 4 {x}^{3}  \\ f'(3) = 4 \times  {3}^{3}  = 4 \times 27 = 108

б)

f'(x)  =  - 3 {x}^{ - 4}  =  -  \frac{3}{ {x}^{4} }

f'(2) =  -  \frac{3}{ {2}^{4} }  =  -  \frac{3}{16}

в)

f'(x) =  \frac{1}{2}  {(5 - 4x)}^{ -  \frac{1}{2} }  \times ( - 4) =  -  \frac{2}{ \sqrt{5 - 4x} }

f'(1) =  -  \frac{2}{ \sqrt{5 - 4} }  =  - 2


Dimassse: СПАСИБО ТЕБЕ ОГРОМНОЕ ты очень хороший человек спасибо тебе
Вас заинтересует