• Предмет: Алгебра
  • Автор: gfutguyrugyth
  • Вопрос задан 3 года назад

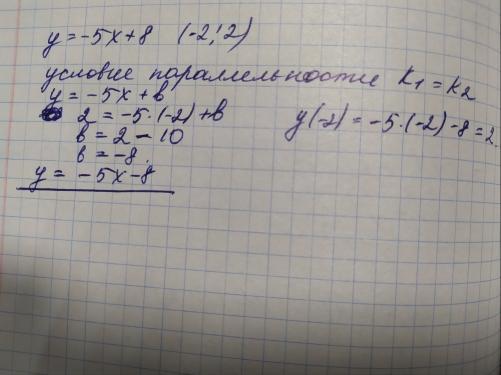
Задайте формулой линейную функцию, график которой параллелен прямой у=-5х+8
и проходит через точку (-2; 2).
ПОМОГИТЕ ПОЖАЛУЙСТА

Ответы

Ответ дал: rgulnara74
0

Ответ: y=-5x-8

Объяснение:

Приложения:
Вас заинтересует