Ответы
Ответ дал:
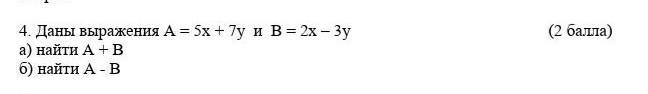
2
Ответ:
Просто складываешь и вычитаешь эти числа
Приложения:

JKT20132020:
а что в конце написано? после 11 и там на понятно
Вас заинтересует
2 года назад
2 года назад
2 года назад
2 года назад
7 лет назад
9 лет назад
9 лет назад