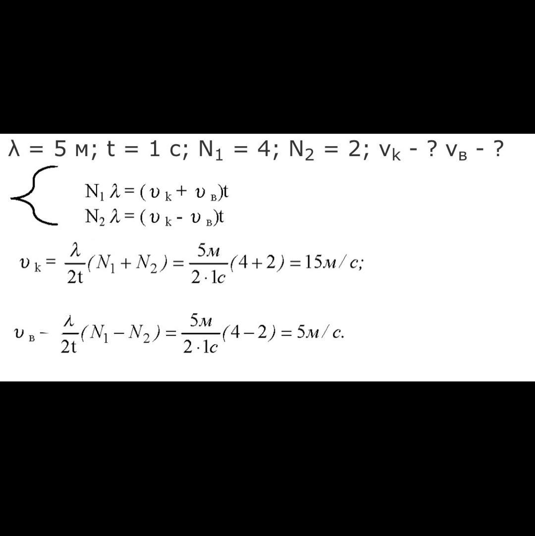
Відстань між гребнями хвиль в морі 5 м. При зустрічному русі катера хвиля вдаряє за 1 с по корпусу катера 4 рази, а при попутному русі – 2 рази. Знайти швидкість катера і хвилі, якщо відомо, що швидкість катера більша швидкості хвилі.
Ответы
Ответ дал:
28
Решение закреплено ниже:
Приложения:

urakapec1:
а где ниже?!
Вас заинтересует
2 года назад
2 года назад
2 года назад
2 года назад
7 лет назад
9 лет назад