• Предмет: Математика
  • Автор: cartoonsees
  • Вопрос задан 3 года назад

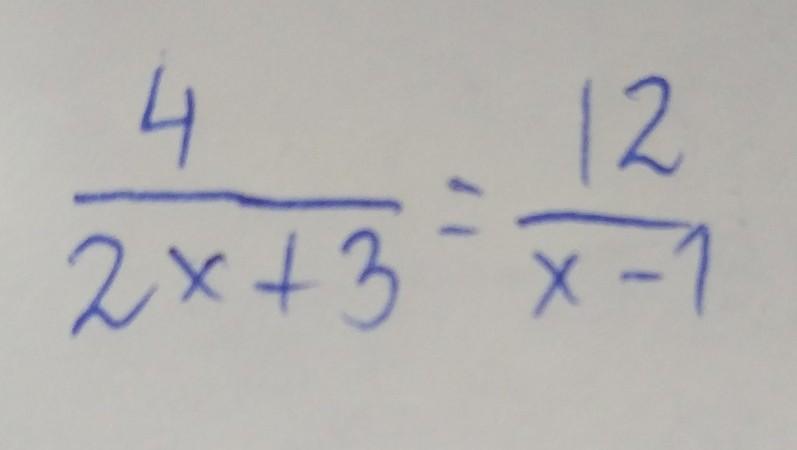
4/2x+3=12/x-1 уравнение дам 12 баллов​

Приложения:

Ответы

Ответ дал: krampus777
2

Ответ:

 \frac{4}{2x + 3}  =  \frac{12}{x - 1}   \\ 4(x -  1) = 12(2x + 3) \\ 4x - 4 = 24x + 36 \\ 4x - 24x = 36 + 4 \\  - 20x = 40 \\ x =  - 2


cartoonsees: спасибо тебе :)
krampus777: Не за что)
Вас заинтересует