• Предмет: Математика
  • Автор: elenakasholka
  • Вопрос задан 3 года назад

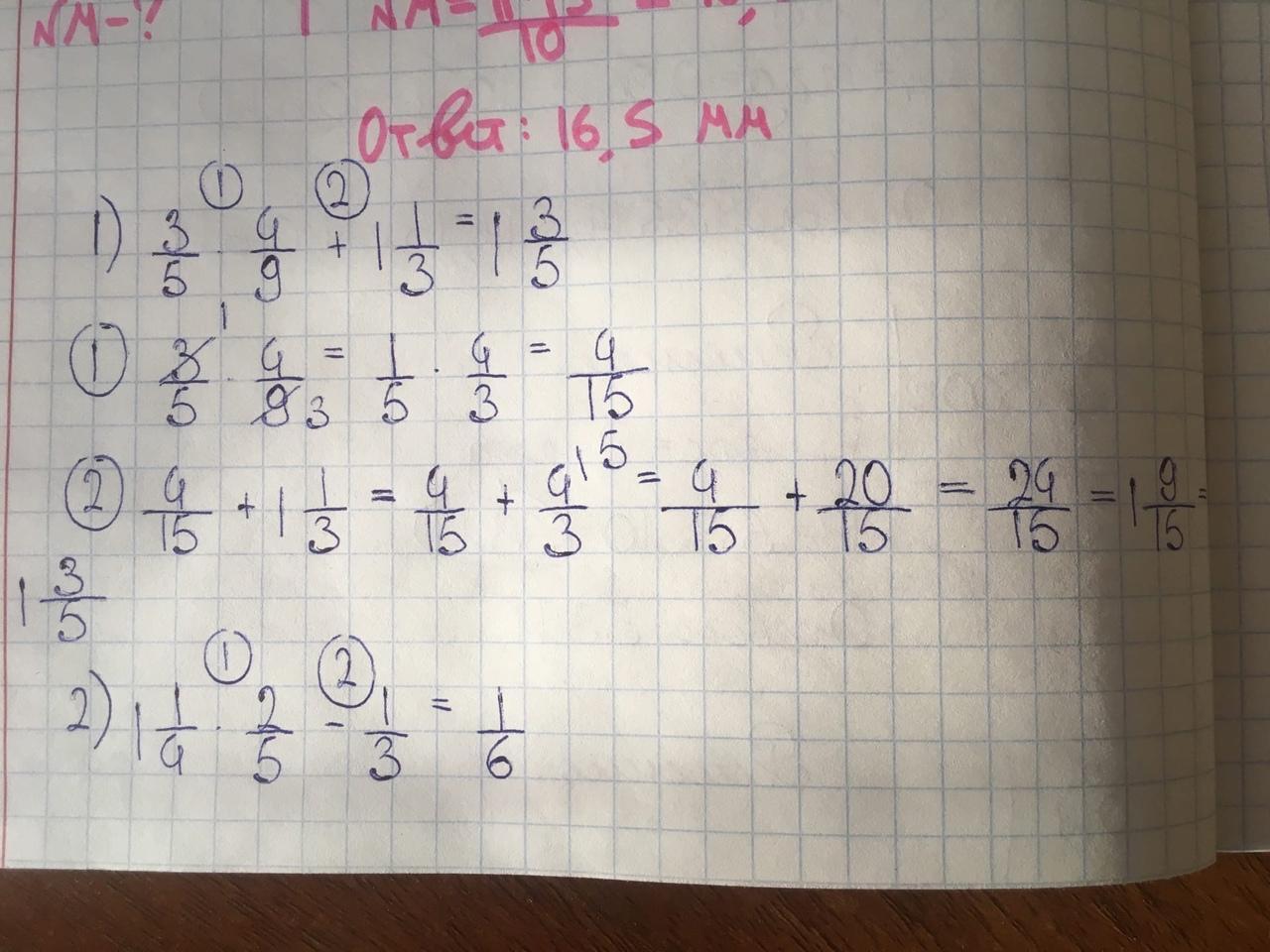
1)3/5 х 4/9 + 1 1/3
2)1 1/4*2/5-1/3
3)3/8:1/2+3 1//4
4)5/6:1/3+1 3/8
5)1 2/5:5/7+38
6)2 1/3:1 5/9-5/6
номер 641 математика пж помогите​


raxmatullayevshoxrux: 2 минуты

Ответы

Ответ дал: aaaaaa59856
6

Ответ:

1) 59/15= 3 целых 14/15

2) 23/30

3) 17/2= 8 целых 1/2

4) 33/8= 4 целых 1/8

5) 41 целая 9/25

6) 3 целых 11/30

Пошаговое объяснение:

воть


alinakamilzanova10: пасибо
Аноним: спасибки
Аноним: с меня подписка
Ответ дал: vic0bader
12

Ответ:

На фото

Пошаговое объяснение:

Приложения:

ermahanzazira: хз
ermahanzazira: ты что тут делаешь?
kamilaasan4736373673: ну нечего списоваю
kabylov80: спс большое
Аноним: спасибо
Аноним: огромное спасибо
Anime90: почему в 5 примере
Anime90: там не 3/8
Anime90: а 38?
Anime90: можете мне объяснить как у вас получилось 39 24/25?
Вас заинтересует