Ребят,выручайте!!
Решение на листке пожалуйстаа!!!
Отдам 20 ПКТ если нужно.
Заранее огромное спасибо!
Приложения:
Ответы
Ответ дал:
0
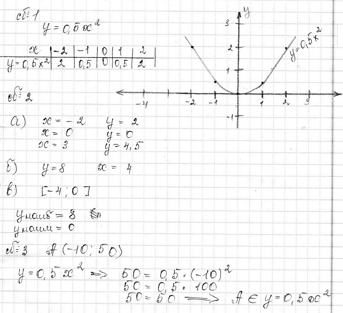
там только график не до конца дочерчен..
в табличке ещё припиши
х -4 4
у 8 8
и на графике отметишь эти точки и соеденишь )
в табличке ещё припиши
х -4 4
у 8 8
и на графике отметишь эти точки и соеденишь )
Приложения:
Ответ дал:
0
Спасибо
Ответ дал:
0
А у тебя точно все правильно Дим?
Вас заинтересует
3 года назад
3 года назад
8 лет назад
11 лет назад
11 лет назад
11 лет назад