• Предмет: Алгебра
  • Автор: Аноним
  • Вопрос задан 3 года назад

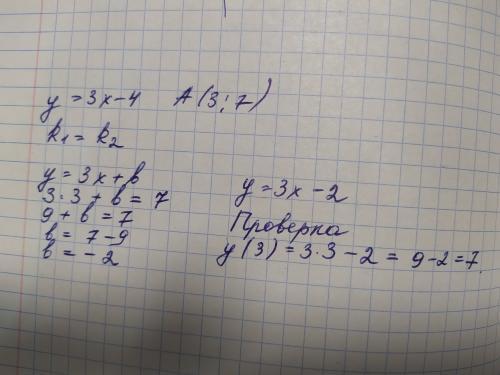
Напишите формулу линейной функции, график которой параллелен графику функции y = 3x-4 и проходит через точку A (3; 7)​

Ответы

Ответ дал: rgulnara74
1

Ответ: y=3x-2

Объяснение:

Приложения:
Вас заинтересует