• Предмет: Алгебра
  • Автор: islandermadridov
  • Вопрос задан 3 года назад

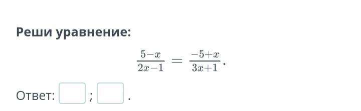
Реши уравнение
Помооогииттеее

Приложения:

Ответы

Ответ дал: Zombynella
2

Ответ:

В решении.

Объяснение:

(5 - х)/(2х - 1) = (-5 + х)/(3х + 1)

Умножить левую дробь на (3х + 1), правую на (2х - 1), чтобы избавиться от дробного выражения:

(5 - х)*(3х +1) = (-5 +х)*(2х - 1)

Раскрыть скобки:

15х + 5 - 3х² - х = -10х + 5 + 2х² - х

Привести подобные члены:

15х + 10х - 3х² - 2х² +5 - 5 - х + х = 0

-5х² + 25х = 0

Разделить уравнение на -5 для упрощения:

х² - 5х = 0  неполное квадратное уравнение

х(х - 5) = 0

х₁ = 0;

х - 5 = 0

х₂ = 5.

Проверка путём подстановки  вычисленных значений х в уравнение показала, что данные решения удовлетворяют данному уравнению.


Аноним: здравствуйте вы не могли бы вы мне помочь с алгеброй пожалуйста
Zombynella: Посмотрю)
Zombynella: Написала первое решение в комментариях, ответы заняты)
Вас заинтересует