• Предмет: Математика
  • Автор: nurai02122009
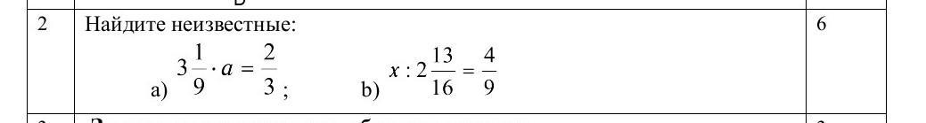
  • Вопрос задан 3 года назад

помогитеееее пппжжжжж только с объяснением пж​

Приложения:

Ответы

Ответ дал: manyny06
0

Ответ:

решение на фотографии

Приложения:
Ответ дал: Nurai0110
0

Ответ:

а) b)

Пошаговое объяснение:

Надеюсь правильный!

Пж поставьте лучший ответ, и лайк❤️❤️❤️

Приложения:

nurai02122009: меня тоже Нурай зовут
Вас заинтересует