• Предмет: Алгебра
  • Автор: egor4646
  • Вопрос задан 3 года назад

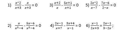
Найдите корни уравнения:

Приложения:

Ответы

Ответ дал: olekksandra
1

Ответ:

..........

Объяснение:

Приложения:

egor4646: пасиба большое
egor4646: темой были дробно рациональные уравнения в решении через них сделано ?
Вас заинтересует