Ответы
Ответ дал:
0
Пошаговое объяснение:
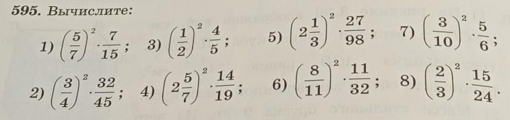
вот решение на фото надеюсь помогла
Приложения:

Вас заинтересует
2 года назад
2 года назад
2 года назад
2 года назад
7 лет назад