• Предмет: Алгебра
  • Автор: pashagutorov00
  • Вопрос задан 3 года назад

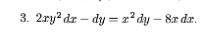
Варианте найти общий интеграл дифференциального уравнения:

Приложения:

Ответы

Ответ дал: Miroslava227
1

Ответ:

2x {y}^{2} dx - dy =  {x}^{2} dy - 8xdx \\ 2x {y}^{2}  + 8xdx = dy +  {x}^{2} dy \\ 2x( {y}^{2}  + 4)dx = (1 +  {x}^{2} )dy \\ \int\limits \frac{dy}{ {y}^{2}  + 4}  = \int\limits \frac{2xdx}{ {x}^{2}  + 1}  \\ \int\limits \frac{dy}{ {y}^{2}  +  {2}^{2} }  = \int\limits \frac{d( {x}^{2} + 1) }{ {x}^{2} + 1 }  \\  \frac{1}{2} arctg( \frac{y}{2} ) =  ln( {x}^{2}  + 1)  + C \\ arctg( \frac{y}{2} ) = 2 ln( {x}^{2}  + 1)  + 2C

общее решение

Вас заинтересует