• Предмет: Математика
  • Автор: Alallalalalalalalala
  • Вопрос задан 3 года назад

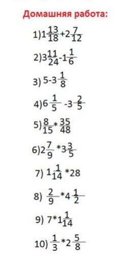
ПОМОГИТЕ, ЕСЛИ БУДЕТЕ ПИСАТЬ ФИГНЮ ИЛИ СПАМ В ОТВЕТ БЦДУ БАНИТЬ, МНЕ НУЖЕН ПРАВИЛЬНЫЙ ОТВЕТ

Приложения:

xtfugguh: А ты можешь помочь?
nickpereguda: чем?
xtfugguh: Я там оставляла вопрос
xtfugguh: Перейди на мой профиль и посмотри мой самый новый вопрос
xtfugguh: И ответь на него пж
Alallalalalalalalala: Наглая такая, я балы отдаю
rtishevdima: А как добавить ответ?
xtfugguh: @Alallalalalalalalala лучше не язви
Alallalalalalalalala: Взаимно
Alallalalalalalalala: Я тут админ

Ответы

Ответ дал: vmitraskina
2

Ответ:

1)4 11/36

2)2 7/24

3)1 7/8

4)2 4/5

5)7/18

6)10

7)30

8)1

9)7 1/2

10)7/8


Alallalalalalalalala: Спасибо большое
vmitraskina: не за что
Вас заинтересует