• Предмет: Алгебра
  • Автор: roninogh
  • Вопрос задан 3 года назад

СРОШНО ДАЮ 20 БАЛЛОВ ​

Приложения:

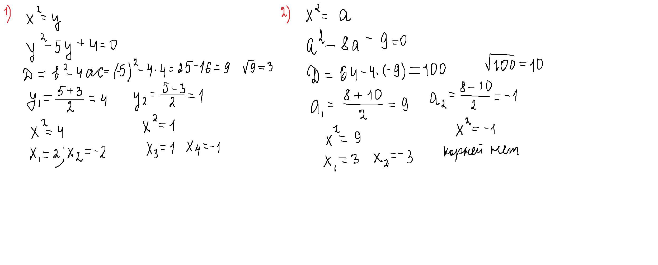
roninogh: надо решить способом введения новой переменной

Ответы

Ответ дал: parus77
0

Ответ:

Объяснение:

где будет непонятно-спрашивай

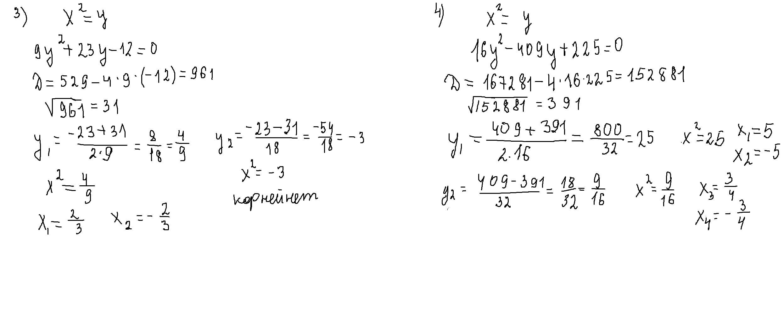
Приложения:
Вас заинтересует