Ответы
Ответ дал:
1
Ответ:
Ответ на фотографии
Приложения:

Ответ дал:
0
Ответ:
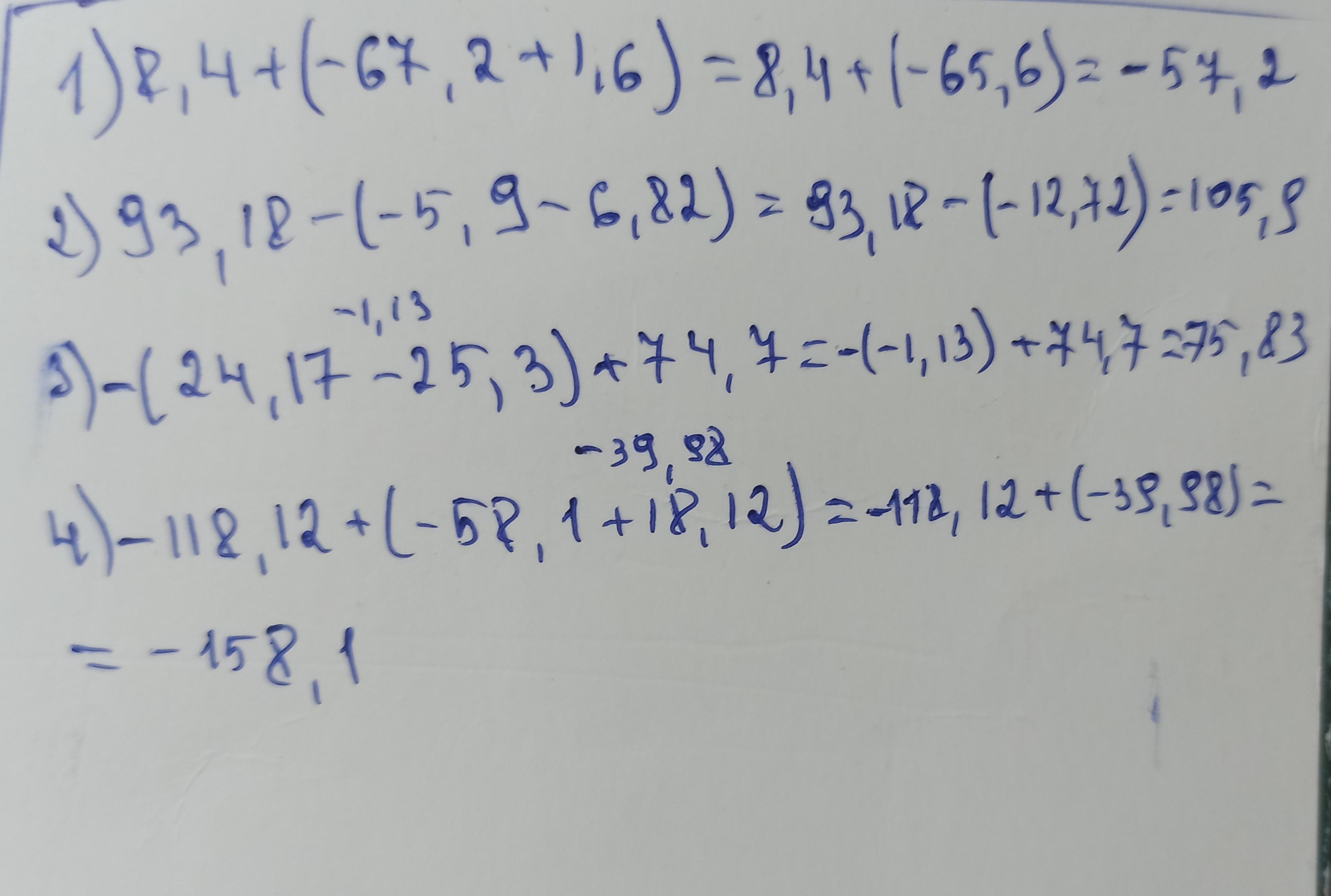
1)-57.2,2)105.9,3)75.83,4)
Пошаговое объяснение:
1)8.4+(-67.2+1.6)=8.4+(-65.6)=8.4-65.6=-57.2
2)93.18-(-5.9-6.82)=93.18-(-12.72)=93.18+12.72=105.9
3)-(24.17-25.3)+74.7=-(-1.13)+74.7=1.13+74.7=75.83
4)-118.12+(-58.1+18.12)=-118.12+(-39,98)=-118.12-39.98=-158.1
Вас заинтересует
2 года назад
2 года назад
2 года назад
2 года назад
7 лет назад
7 лет назад
9 лет назад