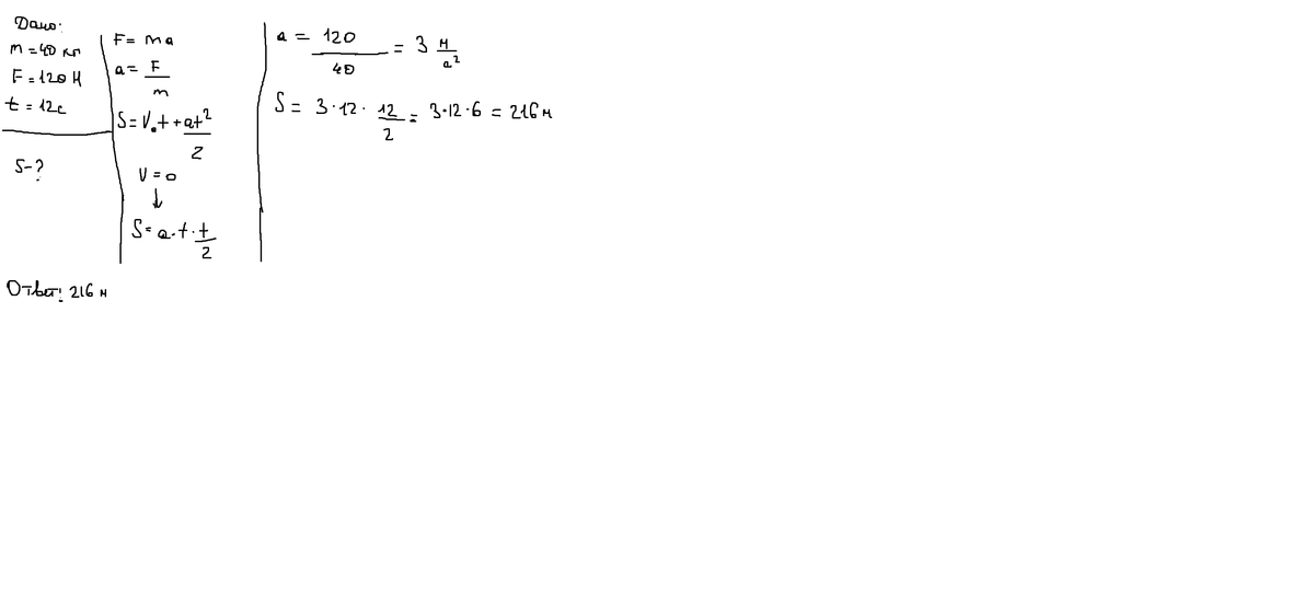
к неподвижному телу массой 40 кг приложили постоянную силу 120H.какой путь пройдёт это тело за 12с.решение с формулами надо
Ответы
Ответ дал:
0
Решение с формулами и пояснениями:
Приложения:

Вас заинтересует
2 года назад
2 года назад
8 лет назад
8 лет назад
10 лет назад
10 лет назад
10 лет назад
10 лет назад