Ответы
                                            Ответ дал: 
                                                                                    
                                        
                                            
                                                
                                                
                                                
                                                    0
                                                
                                            
                                        
                                    Ответ:
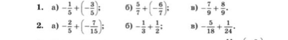
А)-4/5,-13/15.б)-1/7,1/6.в)1/9,-17/72.
Пошаговое объяснение:
А) - 1/5+(-3/5)=-1/5-3/5=-4/5
А) - 2/5+(-7/15)=-2/5-7/15=-6/15-7/15=-13/15
Б)5/7+(-6/7)=5/7-6/7=-1/7
Б)-1/3+1/2=-2/6+3/6=1/6
В)-7/9+8/9=1/9
В)-5/18+1/24=-20/72+3/72=-17/72
Вас заинтересует
                
                        2 года назад
                    
                
                        2 года назад
                    
                
                        2 года назад
                    
                
                        7 лет назад
                    
                
                        7 лет назад
                    
                