• Предмет: Алгебра
  • Автор: Kolbasohka
  • Вопрос задан 11 лет назад

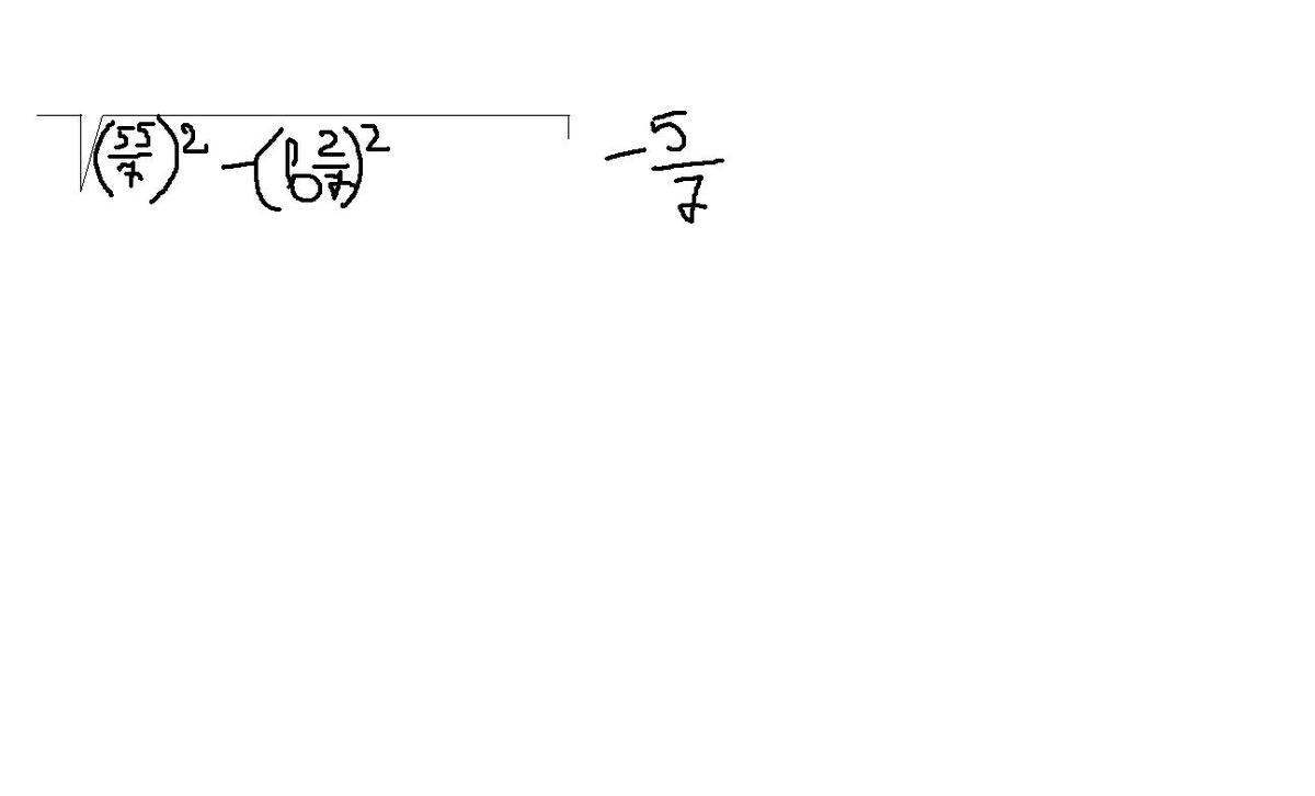
Найти значение выражения? 

Приложения:

Ответы

Ответ дал: wangross
0
 sqrt{( frac{55}{7} )^{2} -(6 frac{2}{7})^{2}  } - frac{5}{7} = \ = sqrt{( frac{55}{7} )^{2}-( frac{44}{7})^{2} }- frac{5}{7} = \ = sqrt{( frac{55}{7}- frac{44}{7})( frac{55}{7}+ frac{44}{7}) }- frac{5}{7} = \ = sqrt{ frac{11}{7}* frac{99}{7}  } - frac{5}{7} = \ = sqrt{ frac{1089}{49} } -frac{5}{7} = \ = frac{33}{7} -frac{5}{7} =frac{28}{7} =4
Ответ: 4
Вас заинтересует