Ответы
Ответ дал:
3
Ответ:
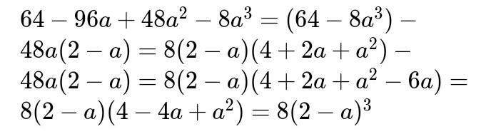
на фото!....!.!.!..!.!.!.!.!..!.!.!.!.!.!)!))!)!))!...!!.₽
Приложения:

Вас заинтересует
2 года назад
2 года назад
2 года назад
7 лет назад
7 лет назад