• Предмет: Алгебра
  • Автор: mereymeyrambaeva
  • Вопрос задан 3 года назад



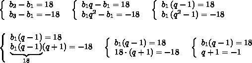
В геометрической прогрессии: B2-b1=18,B3-b1=-18 бллса тогда: а)определите первый член и кратность геометрической прогрессии. б) найти сумму первых пяти членов геометрической прогрессии

Ответы

Ответ дал: adotseva
4

Ответ:

Объяснение:

вот все на фото

Приложения:
Вас заинтересует