13.9. Представьте выражение в виде произведения:
а) (a - bc + (а - b)d;
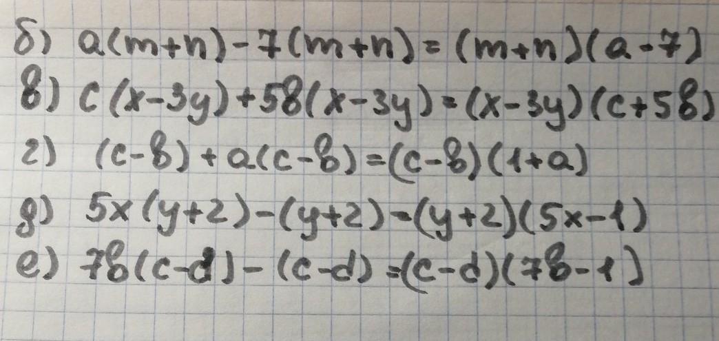
б) а(m+n) - 7(m+n)
в) с(х – 3y) + 5b(x – 3у); г) (с - b) + a(с - b);
д) 5x(y+2) - (y+ 2);
е) 7b(с — d) — (с – d).
Ответы
Ответ дал:
1
Под буквой а, я не поняла пример(
Приложения:

Вас заинтересует
2 года назад
2 года назад
2 года назад
2 года назад
7 лет назад
7 лет назад
9 лет назад
9 лет назад