• Предмет: Алгебра
  • Автор: maratovaj07
  • Вопрос задан 3 года назад

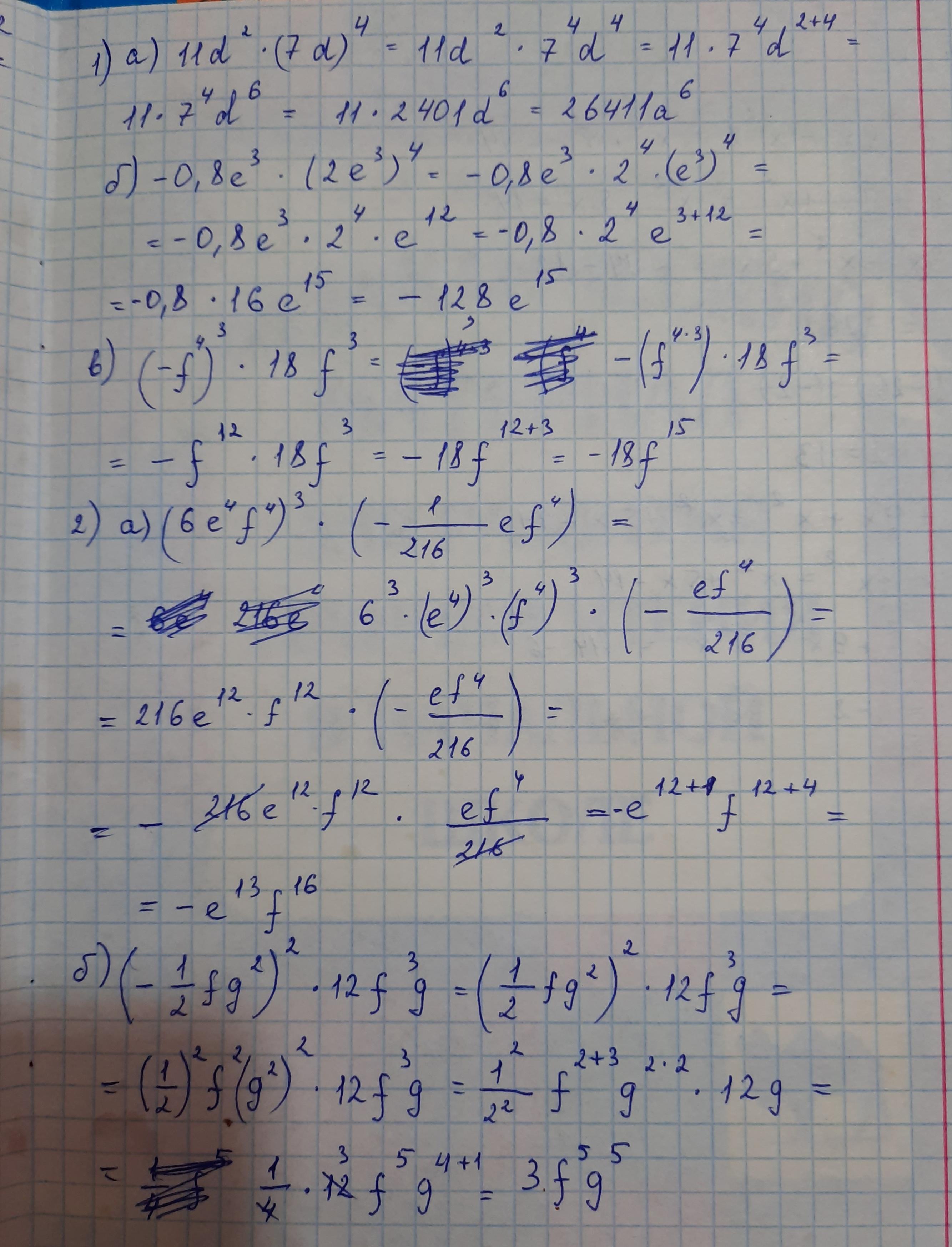
пожааааалууууйййсстттаааа ЭТО К/Р!!! СРОЧНО​

Приложения:

Ответы

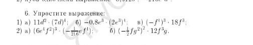
Ответ дал: filana85
1

Ответ: во вложенном файле

Приложения:

maratovaj07: оаоаоаооа спасибооооо
Вас заинтересует