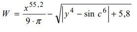
В данном задании требуется составить на языке PASCAL программу вычисления значения функции
Приложения:

Ответы
Ответ дал:
1
Ответ:
var x,y,c,w:real;
begin
write('x=');
readln(x);
write('y=');
readln(y);
write('c=');
readln(c);
w:=(power(x,55.2)/(9*pi))-sqrt(abs(power(y,4)-sin(power(c,6)))+5.8);
writeln(w)
end.
Объяснение:
Приложения:

Вас заинтересует
2 года назад
2 года назад
2 года назад
7 лет назад