помогите срочно даю 50 баллов уравнение 4
Приложения:

miki68:
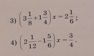
(1 13/12-1 10/12)х=3/4; 1/4х=3/4; х=3/4*4/1; х=3
Ответы
Ответ дал:
0
Ответ:
3) х = 4/9
4) х = 3
Вас заинтересует
2 года назад
2 года назад
2 года назад
2 года назад
7 лет назад
9 лет назад