• Предмет: Алгебра
  • Автор: janna610513
  • Вопрос задан 3 года назад

Помогите пожалуйста!! ​

Приложения:

Ответы

Ответ дал: katerinaaaaa13
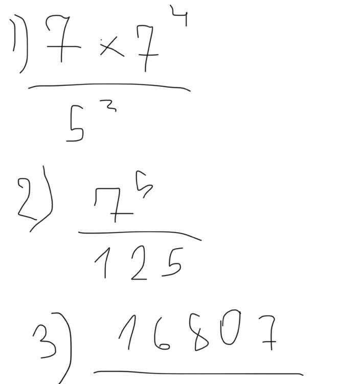
1
ответ 16807
———-
125
Приложения:
Ответ дал: urianam
1

\sqrt{\frac{49c^{8} }{y^{6} } } = \frac{7c^{4} }{y^{3} }= {\frac{7*7^{4} }{5^{3} } } = \frac{16807}{125}

Вас заинтересует