• Предмет: Алгебра
  • Автор: wasek6789
  • Вопрос задан 10 лет назад

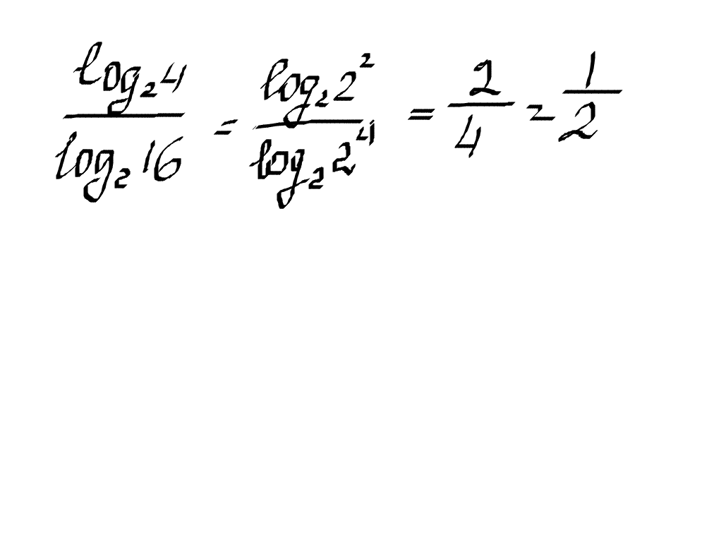
log2(4)/log2 (16)вычислить

Ответы

Ответ дал: Vanillka
0
решение во вложении, извиняюсь за корявый почерк)
Приложения:
Вас заинтересует