• Предмет: Алгебра
  • Автор: Sultan1k
  • Вопрос задан 3 года назад

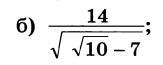
Избавиться от иррациональности в знаменателе

Приложения:

Ответы

Ответ дал: mmb1
1

14 / √(√10 - 7) =

Избавиться от иррациональности в знаменателе  нельзя

√10 - 7 < 0

√(√10 - 7) корень четной степени из отрицательного числа на поле действительных чисел не определен

-----

если 14 / (√10 - 7) = 14(√10 + 7) / (√10 - 7)(√10 + 7) = - 14/39 * (√10 + 7)

(√10 - 7)(√10 + 7) = √10² - 7² = 10 - 49 = -39

Вас заинтересует