• Предмет: Алгебра
  • Автор: GospodinChary
  • Вопрос задан 3 года назад

Срочно С объяснением
Найдите значения выражения:
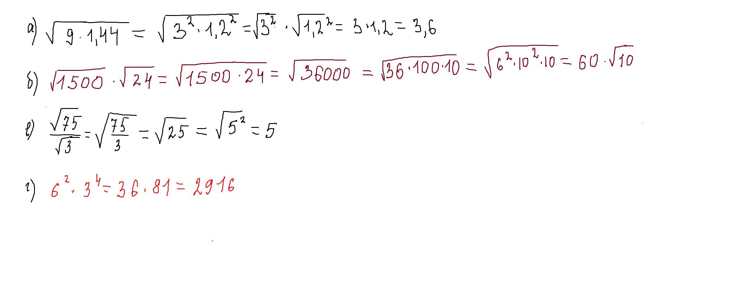
а) √9*1,44
б)√1500*√24
в)√75/√3
г)6^2*3^4

Ответы

Ответ дал: skwinshot
0

Ответ:

а) 4,32

б) 60√10

в) 5

г) 3^8

Объяснение:


parus77: у вас 1 и 4 примеры решены неправильно
Ответ дал: parus77
1

Ответ:

Объяснение:

смотри решение внизу

Приложения:
Вас заинтересует