• Предмет: Математика
  • Автор: artem57508
  • Вопрос задан 3 года назад

Сроооочно!!! 25 баллов !!

Приложения:

Elo4kaw: (5-х)•7=3•4 ; 35-7х =12; 7х = 35-12 ; 7х =23 ; х= 23/7; х = 3 2/7

Ответы

Ответ дал: Dashaledy5
1

Ответ:

х=23/7

Пошаговое объяснение:

1.перекрестно умножить  7(5-х)=12

2.раскрыть скобки(распределить 7 через скобки) 35-7х=12

3.перенести константу в правую часть равенства -7х=12-35

4.вычислить -7х=-23

5.разделить обе стороны на -7

х=23/7

надеюсь,понятно

Ответ дал: parus77
1

Ответ:

Пошаговое объяснение:

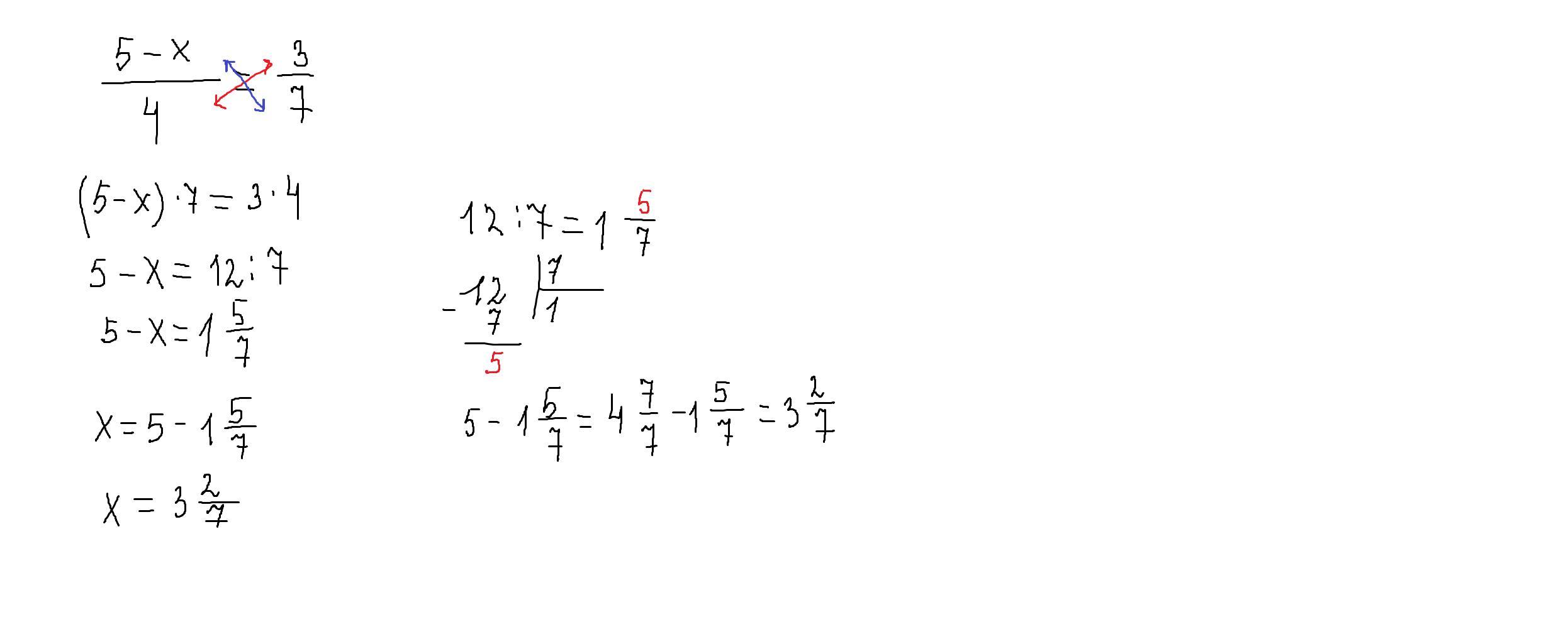
решение внизу

Приложения:

artem57508: С͜͡п͜͡а͜͡с͜͡и͜͡б͜͡о͜͡ )͜͡
parus77: все понятно?сможешь решить на контрольной такое ур-ние?
artem57508: Да спасибо )
parus77: удачи.
artem57508: С҉п҉а҉м҉и҉б҉о҉,҉ в҉ы҉ о҉ч҉е҉н҉ь҉ п҉о҉м҉о҉г҉л҉и҉
Вас заинтересует