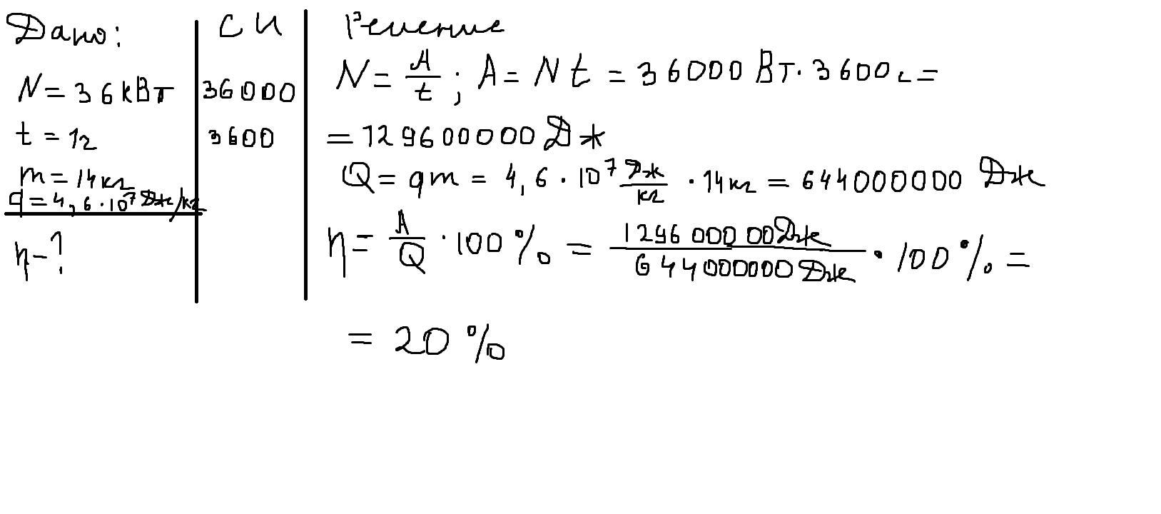
Двигатель внутреннего сгорания мощностью 36 кВт за 1 ч работы израсходовал 14 кг дизельного топлива. Определите КПД двигателя. ПОЖАЛУЙСТА С ДАНО:
Ответы
Ответ дал:
1
если что-то не понятно пиши
Приложения:

Вас заинтересует
2 года назад
2 года назад
2 года назад
2 года назад
7 лет назад
7 лет назад
9 лет назад