• Предмет: Физика
  • Автор: AlyonaBelaya0006
  • Вопрос задан 3 года назад

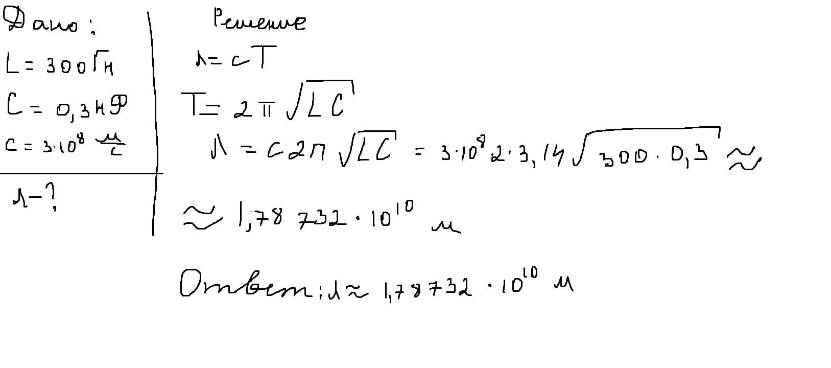
Определить длину электромагнитных волн в воздухе, излучаемых колебательным контуром емкостью 0,3 нФ и индуктивностью 300 Гн.

Ответы

Ответ дал: mqazmlp0001
1

Ответ получился слишком длинный, а так все правильно)

Приложения:
Вас заинтересует