ПОМОГИТЕ ПОЖАЛУЙСТА решить задания по математике(алгебра).
Пожалуйста с объяснением
Спасибо заранее)))
Приложения:

Ответы
Ответ дал:
1
Ответ:
Пошаговое объяснение:
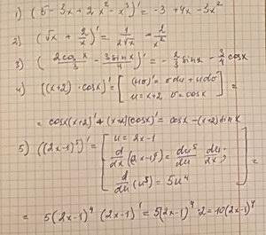
1) - 5) в прикрепленном файле
6)y= 3-4x+x²
всё, что требуется ищем через первую производную
y'= (3-4x+x²)/ = 2x-4
2x-4=0 ⇒ x₁ = 2 - точка экстремума, также точка смены знака
(-∞; 2 ) y'(0) = -4 <0 - функция убывает
(2; +∞ ) y'(3) = 2 >0 - функция возрастает
[-5;5]
точка экстремума х=2 входит в отрезок. поэтому считаем значение функции в этой точке и на концах отрезка
y(2) = -1
y(-5) = 46
y(5) = 8
на отрезке [-5;5] минимум функции достигается в точке локального минимума и равен
y(2) = -1
Приложения:

Tresch:
Спасибо большое!!!)
Вас заинтересует
2 года назад
2 года назад
2 года назад
2 года назад
7 лет назад
7 лет назад
9 лет назад
9 лет назад