• Предмет: Алгебра
  • Автор: Natasha7855
  • Вопрос задан 3 года назад

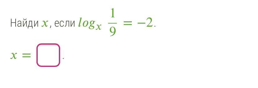
СРОЧНО. ВЫЧИСЛИТЬ: ФОТО ВНИЗУ

Приложения:

Ответы

Ответ дал: annashilyuk0709
0

Ответ:

1) 16

2)х=3

3)30

--------


Natasha7855: От души
Вас заинтересует