• Предмет: Геометрия
  • Автор: zoryanav
  • Вопрос задан 3 года назад

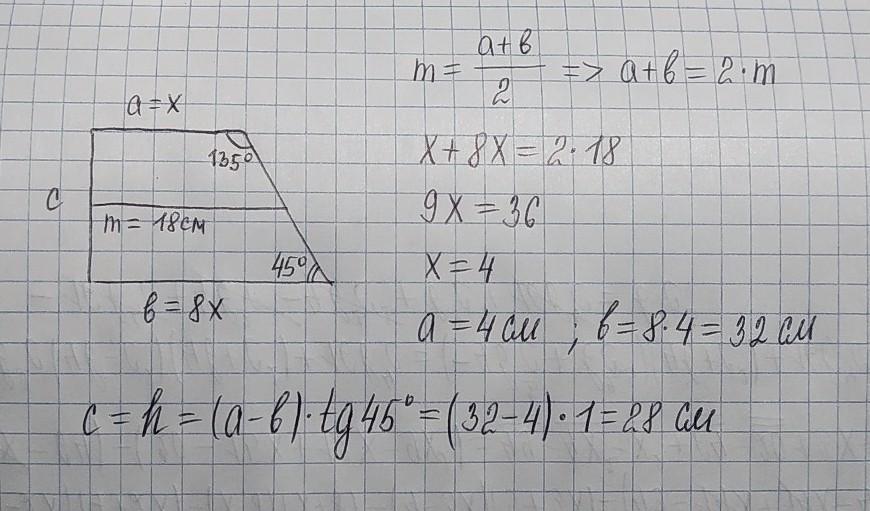
У прямокутній трапеції один із кутів 135°, середня лінія 18 см, а основи відносяться, як 1:8. Знайти меншу бічну сторону трапеції.
Помогите, пожалуйста! Дам 30 баллов!

Ответы

Ответ дал: lorry2248
2

Ответ:

28 см

Объяснение:

смотри фотографию

Приложения:
Вас заинтересует