• Предмет: Алгебра
  • Автор: venasyrnik
  • Вопрос задан 3 года назад

Ребят срочно 2 номер!!!!2 вариант

Приложения:

Ответы

Ответ дал: blablabbbla
0

Ответ:

Объяснение:

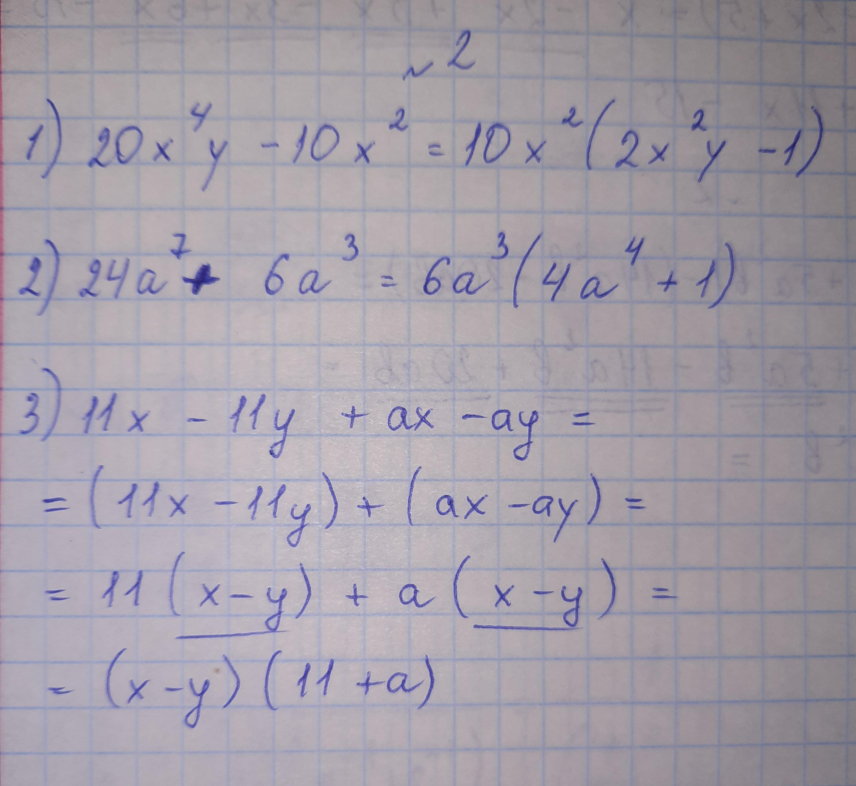
1) 10х^2 * (2х^2 у-1)

2) 6а^3 * ( 4а^4+1)

3) 11(х-у)+а(х-у) ;

(х-у)*(11+а)

Ответ дал: filana85
0

Ответ: во вложенном файле

Приложения:
Вас заинтересует