• Предмет: Математика
  • Автор: lfolfe
  • Вопрос задан 3 года назад

Можете решить, пожалуйста.

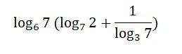
Приложения:

Ответы

Ответ дал: iosiffinikov
1

Ответ:

1

Пошаговое объяснение:

Выражение в скобках равно log7(2)+log7(3)=log7(6).

Это обратная величина к log6(7).

Поэтомупроизведение равно 1.

Вас заинтересует