• Предмет: Алгебра
  • Автор: dariaromanoffa2002
  • Вопрос задан 3 года назад

даю 20 баллов
решите пожалуйста ​

Приложения:

Ответы

Ответ дал: id1223456789
1

Ответ:

Знаю только как первое решить

Приложения:

Аноним: помогите пожалуйста,с последним заданием, геометрия,у меня на аккаунте,прошу
Ответ дал: zinaidazina
2

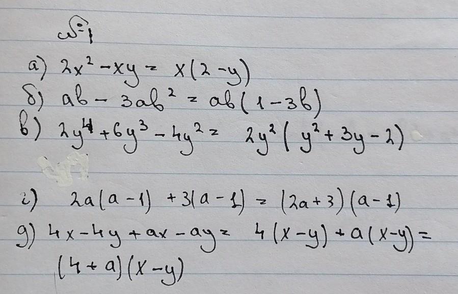
1.

а)  2x^{2} -xy=x * (2x-y)

б)  ab+3ab^2=ab*(1+3b)

в)  2y^4+6y^3-4y^2=2y^2*(y^2+3y-2)

г)  2a(a-1)+3(a-1)=(2a+3)*(a-1)

д)  4x-4y+ax-ay=(4x-4y)+(ax-ay)=4(x-y)+a(x-y)=(4+a)(x-y)

2,

а)  2a^2b^2-6ab^3+2a^3b=2ab(ab-3b^2+a^2)

б)  a^2(a-2)-a(a-2)^2=a(a-2)(a-a+2)=2a(a-2)

в) 3x-xy-3y+y^2= (3x-xy)-(3y-y^2)=x(3-y)-y(3-y)=(x-y)(3-y)

г)   ax-ay+cx-cy+x-y=(ax-ay)+(cx-cy)+(x-y)=

 =a(x-y)+c(x-y)+1*(x-y)=(a+c+1)(x-y)

Вас заинтересует