Ответы
Ответ дал:
1
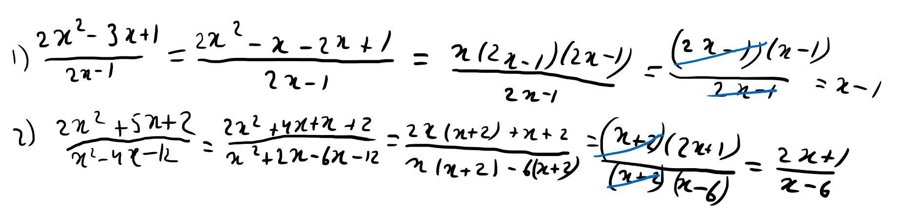
Ответ: первые два примера смотри на фото
Приложения:

Вас заинтересует
2 года назад
2 года назад
2 года назад
7 лет назад