Ответы
                                            Ответ дал: 
                                                                                    
                                        
                                            
                                                
                                                
                                                
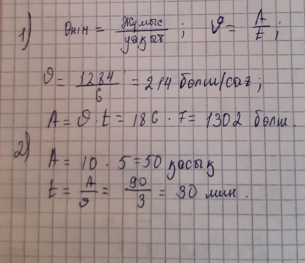
                                                    3
                                                
                                            
                                        
                                    Ответ:
я плохо знаю казахский но надеюсь помог
Пошаговое объяснение:
на фото, можно пожалуйста лучший ответ♡
Приложения:
                    
                            Вас заинтересует
                
                        2 года назад
                    
                
                        2 года назад
                    
                
                        2 года назад
                    
                
                        7 лет назад
                    
                
                        7 лет назад
                    
                
                        9 лет назад
                    
                
                        9 лет назад