• Предмет: Алгебра
  • Автор: sevinch207
  • Вопрос задан 3 года назад

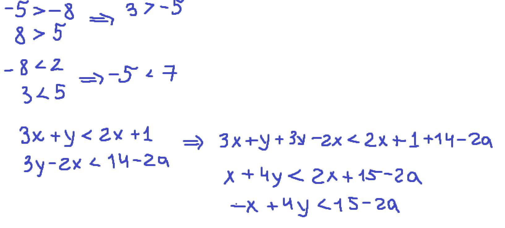
Сложите неравенства:
1) 5>-8 и 8>5
2)-8<2и 3<5
3)3x+y<2x+1 и 3y-2x<14-2a ​

Ответы

Ответ дал: asphyxik
1

Ответ:

текст текст текст текст

Приложения:
Вас заинтересует