• Предмет: Математика
  • Автор: boretskaiadiana
  • Вопрос задан 3 года назад


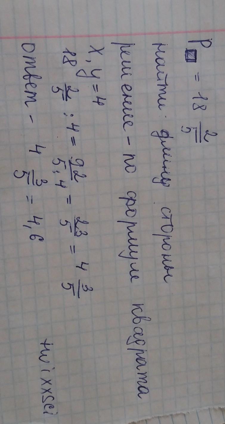
Периметр квадрата равен 18. 2/5
квадрата.
см. Найдите длину стороны квадрата . Помогите пожалуста ​

Ответы

Ответ дал: twixxsci
1

Ответ:

решение на фото

Пошаговое объяснение:

...............

Приложения:

boretskaiadiana: пасибки
Вас заинтересует