• Предмет: Алгебра
  • Автор: dianaa179
  • Вопрос задан 3 года назад

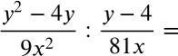
При Х=9,у=1
ПОЖАЛУЙСТА

Приложения:

Ответы

Ответ дал: razakujmi01
1

Ответ: получится 1

Объяснение:

Ответ дал: MrFlyguy
1

Ответ:

решение на фотографии

Приложения:
Вас заинтересует