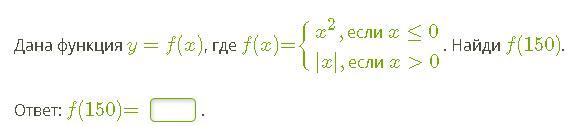
Ответы
Ответ дал:
1
Объяснение:
Воопамитлорршшшшшшшшшшшшш
Приложения:

Вас заинтересует
2 года назад
2 года назад
7 лет назад
7 лет назад
9 лет назад
Проверяем условие х<0, 49<0, не верно, проверяем следующее условие,
x>=0, x>=49, верно, значит f(x)=корень(х) для нашего случая.
корень(49)=7