• Предмет: Алгебра
  • Автор: bigboyslaim
  • Вопрос задан 3 года назад

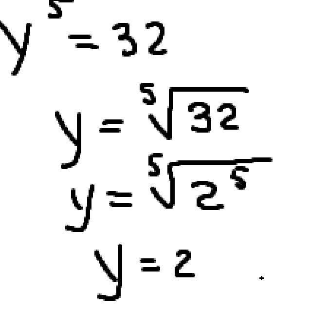
найдите y. если y^5 = 32​


zhambulov00: Y=2

Ответы

Ответ дал: asphyxik
0

Ответ:

2

Объяснение:

текст текст текст

Приложения:
Ответ дал: Fin2288
1

Ответ:

Надо 32:2:2:2:2:2=2

2^5=32

Норм?

Вас заинтересует