• Предмет: Алгебра
  • Автор: lushnikovt
  • Вопрос задан 3 года назад

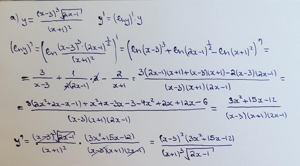
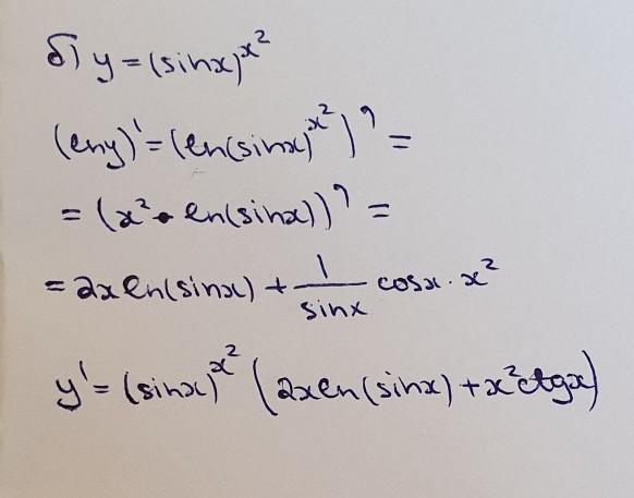
Помогите с логарифмическим дифференцированием, пожалуйста)

Приложения:

Ответы

Ответ дал: Miroslava227
1

Ответ:

решение на фотографиях

Приложения:
Вас заинтересует